繁體中文 English 收藏本站 在線留言 站點地圖 新浪微博 騰訊微博

您好,歡迎來到港源公司官網!

熱搜關鍵詞: 微型船型開關變壓器品牌臥式貼片插座繼電器生產廠家撥動開關

當前位置首頁 » 港源電子新聞中心 » 行業資訊 » 介紹電感線圈的電感穩定性詳情

介紹電感線圈的電感穩定性詳情

返回列表 來源:港源 作者: 查看手機網址
掃一掃!介紹電感線圈的電感穩定性詳情掃一掃!
瀏覽:- 發布日期:2021-08-17 15:43:13【

港源電子最近推出一款磁環電感-T8*4*3,綠色磁芯,鎳鋅;OD=8mm; ID=4mm; H=3mm,下面給大家介紹一下電感線圈的電感穩定性

產品圖模板-恢復的-恢復的

電感說的是線圈在磁場中活動時,線圈能夠感應到的電流的強度,單位為“亨利”(H)。又指利用這種特性制造的元件。電感是元件再電路中體現出來的電磁感應特性!(含自自感和互感),線圈為電感元件。從廣義上說,電感存在于電路的任何地方,任何元件都不是只有線圈才有電感!電路中的任何元件在頻率很高時都會產生電感效應。確切地說,線圈是電感元件,電感的核心元件就是線圈。
電感線圈與電容的電特性相反,“通低頻阻高頻”。高頻率信號通過感線圈時會遇到很大的阻力,很難通過;對于低頻信號,顯示阻力較小,也就是低頻信號可以輕易地通過。電感線圈對直流電的電阻幾乎為零。
電感線圈的電感穩定性說明
電阻,電容和電感,由于電路中電信號的流動會呈現出一些阻力,這種阻力我們稱之為“阻抗”。電感線圈對電流信號所呈現的阻抗利用的是線圈的自感。有時我們把它簡稱為“電感”或“線圈”,用字母“L”表示。繞制電感線圈時,繞組線圈的圈數我們一般稱之為線圈的匝數。

電感線圈的電感穩定性
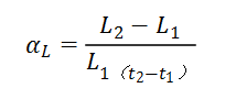
穩定度就是電感線圈參數隨環境變化而變化的程度。一般采用電感溫度系數αL來衡量線圈的穩定程度,它表示電感相對溫度穩定性,以下是計算公司

QQ圖片20210817160126

(式中:αL——電感溫度系數;L———室溫t,下測得的電感量;L2——正負極限溫度t2下測得的電感量。)


電感溫度系數主要是線圈導熱膨脹,線圈產生幾何變形,造成線圈溫度膨脹。為提高線圈溫度的穩定性,可采用熱繞法制造線圈:通過繞制線圈的導線通流,使線圈發熱后再繞制線圈,這樣就可使線圈冷卻收縮后緊貼骨架,不再容易發生受熱變形,相應提高了穩定性。

除溫度外,溫度還會引起電感線圈參數的變化。比如,濕度增加,線圈的分配電容和損耗就會增加,線圈的穩定性就會下降。制作電感線圈時,為了避免濕度對線圈參數的影響,一般都要采取防潮措施,如環氧樹脂封裝或浸水處理。